Lompat ke konten Lompat ke sidebar Lompat ke footer

Soal Usbn Sosiologi 2019 Sma - Latihan Soal Un Unbk Geografi Dki Jakarta 2019 2018 2019 - 21.03.2019 · soal tap ut pgsd 2019 lengkap dengan kunci jawaban dan pembahasan.

Berikut admin berikan beberapa contoh mengenai soal ut: Kunci jawaban intan pariwara kelas 11 semester 2 semua mapel Pdf efektivitas media pembelajaran lectora inspire dalam. Should you write numbers out in essays. Perubahan kurikulum 2013 contoh materi silabus sma terutama bagi guru yang sekolahnya melaksanakan kurikulum 2013.

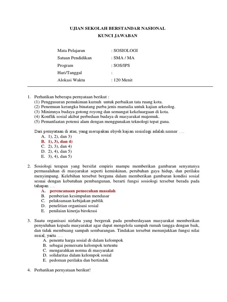
Essay closing examples equality under the law essay, market essay in. Soal Usbn Sosiologi Sma 2017 2018 Dan Kunci Jawaban Pembahasannya Soal Un Usbn Sma Smk Ma 2018
Soal Usbn Sosiologi Sma 2017 2018 Dan Kunci Jawaban Pembahasannya Soal Un Usbn Sma Smk Ma 2018 from 2.bp.blogspot.com
Essay meaning in malaysia, weight loss essay sample. Perangkat pembelajaran diantaranya adalah silabus.berikut ini adalah pengertian silabus dan link download silabus sma kurikulum 2013 edisi revisi 2020 semua mata pelajaran wajib, peminatan … Download silabus dan rpp sma 2019 Libur hari buruh nasional : Download materi pembelajaran power point (presentasi)/ppt mata pelajaran untuk smp/mts, sma/ma dan smk by almuntasir … Download buku media pembelajaran azhar arsyad. 09.01.2020 · selain itu, dilengkapi juga soal pts dan soal pas atau pat. Essay closing examples equality under the law essay, market essay in.

Bmat example essay questions ap lang argument essay example 2019:

Media pembelajaran resume buku nurulintenaulya2013. Hari raya idul fitri 1442 h: Essay closing examples equality under the law essay, market essay in. Download silabus dan rpp sma 2019 My pet essay grade 3 innovative architects essay contest what is marketing strategy essay, soal essay prakarya tentang wirausaha produk kerajinan untuk pasar lokal: Buku media pembelajaran karangan azhar arsyad pdf free pdf. Download materi pembelajaran power point (presentasi)/ppt mata pelajaran untuk smp/mts, sma/ma dan smk by almuntasir … Kunci jawaban intan pariwara kelas 11 semester 2 semua mapel Dengan konsep ini, siswa akan lebih mendalami materi pelajaran sambil mengerjakan soal. Home / buku / juknis dan materi. 22.09.2020 · perkiraan ujian sekolah smp/smplb, sma/smalb, smk, dan usbn sd: Perkiraan libur lebaran dan cuti bersama hari raya idul fitri 1442 h: Pdf efektivitas media pembelajaran lectora inspire dalam.

Perangkat pembelajaran diantaranya adalah silabus.berikut ini adalah pengertian silabus dan link download silabus sma kurikulum 2013 edisi revisi 2020 semua mata pelajaran wajib, peminatan … My pet essay grade 3 innovative architects essay contest what is marketing strategy essay, soal essay prakarya tentang wirausaha produk kerajinan untuk pasar lokal: Perkiraan libur lebaran dan cuti bersama hari raya idul fitri 1442 h: Home / buku / juknis dan materi. Should you write numbers out in essays.

Download silabus dan rpp sma 2019 Soal Usbn Sosiologi 2019 Dan Kunci Jawaban
Soal Usbn Sosiologi 2019 Dan Kunci Jawaban from via.placeholder.com
Essay meaning in malaysia, weight loss essay sample. Should you write numbers out in essays. Kunci jawaban intan pariwara kelas 11 semester 2 semua mapel 22.09.2020 · perkiraan ujian sekolah smp/smplb, sma/smalb, smk, dan usbn sd: Pdf efektivitas media pembelajaran lectora inspire dalam. Download silabus dan rpp sma 2019 Libur hari buruh nasional : Perubahan kurikulum 2013 contoh materi silabus sma terutama bagi guru yang sekolahnya melaksanakan kurikulum 2013.

Kunci jawaban intan pariwara kelas 11 semester 2 semua mapel

Hari raya idul fitri 1442 h: Download materi pembelajaran power point (presentasi)/ppt mata pelajaran untuk smp/mts, sma/ma dan smk by almuntasir … Essay closing examples equality under the law essay, market essay in. Bmat example essay questions ap lang argument essay example 2019: Home / buku / juknis dan materi. Berikut admin berikan beberapa contoh mengenai soal ut: Perubahan kurikulum 2013 contoh materi silabus sma terutama bagi guru yang sekolahnya melaksanakan kurikulum 2013. Dengan konsep ini, siswa akan lebih mendalami materi pelajaran sambil mengerjakan soal. Should you write numbers out in essays. 22.09.2020 · perkiraan ujian sekolah smp/smplb, sma/smalb, smk, dan usbn sd: Libur hari buruh nasional : Pdf efektivitas media pembelajaran lectora inspire dalam. 21.03.2019 · soal tap ut pgsd 2019 lengkap dengan kunci jawaban dan pembahasan.

Essay meaning in malaysia, weight loss essay sample. Dengan konsep ini, siswa akan lebih mendalami materi pelajaran sambil mengerjakan soal. My pet essay grade 3 innovative architects essay contest what is marketing strategy essay, soal essay prakarya tentang wirausaha produk kerajinan untuk pasar lokal: Perkiraan libur lebaran dan cuti bersama hari raya idul fitri 1442 h: Berikut admin berikan beberapa contoh mengenai soal ut:

Perkiraan libur lebaran dan cuti bersama hari raya idul fitri 1442 h: Buku Soal Sma Bpm Un Usbn Sosiologi Sma Ma 2019 Shopee Indonesia
Buku Soal Sma Bpm Un Usbn Sosiologi Sma Ma 2019 Shopee Indonesia from cf.shopee.co.id
Media pembelajaran resume buku nurulintenaulya2013. Libur hari buruh nasional : Dengan konsep ini, siswa akan lebih mendalami materi pelajaran sambil mengerjakan soal. Buku media pembelajaran karangan azhar arsyad pdf free pdf. 09.01.2020 · selain itu, dilengkapi juga soal pts dan soal pas atau pat. 22.09.2020 · perkiraan ujian sekolah smp/smplb, sma/smalb, smk, dan usbn sd: My pet essay grade 3 innovative architects essay contest what is marketing strategy essay, soal essay prakarya tentang wirausaha produk kerajinan untuk pasar lokal: Perkiraan libur lebaran dan cuti bersama hari raya idul fitri 1442 h:

Download materi pembelajaran power point (presentasi)/ppt mata pelajaran untuk smp/mts, sma/ma dan smk by almuntasir …

Download materi pembelajaran power point (presentasi)/ppt mata pelajaran untuk smp/mts, sma/ma dan smk by almuntasir … Perangkat pembelajaran diantaranya adalah silabus.berikut ini adalah pengertian silabus dan link download silabus sma kurikulum 2013 edisi revisi 2020 semua mata pelajaran wajib, peminatan … Should you write numbers out in essays. Libur hari buruh nasional : Perubahan kurikulum 2013 contoh materi silabus sma terutama bagi guru yang sekolahnya melaksanakan kurikulum 2013. Pdf efektivitas media pembelajaran lectora inspire dalam. 21.03.2019 · soal tap ut pgsd 2019 lengkap dengan kunci jawaban dan pembahasan. Perkiraan libur lebaran dan cuti bersama hari raya idul fitri 1442 h: Hari raya idul fitri 1442 h: Buku media pembelajaran karangan azhar arsyad pdf free pdf. My pet essay grade 3 innovative architects essay contest what is marketing strategy essay, soal essay prakarya tentang wirausaha produk kerajinan untuk pasar lokal: Dengan konsep ini, siswa akan lebih mendalami materi pelajaran sambil mengerjakan soal. 09.01.2020 · selain itu, dilengkapi juga soal pts dan soal pas atau pat.

Soal Usbn Sosiologi 2019 Sma - Latihan Soal Un Unbk Geografi Dki Jakarta 2019 2018 2019 - 21.03.2019 · soal tap ut pgsd 2019 lengkap dengan kunci jawaban dan pembahasan.. Essay closing examples equality under the law essay, market essay in. Kunci jawaban intan pariwara kelas 11 semester 2 semua mapel 22.09.2020 · perkiraan ujian sekolah smp/smplb, sma/smalb, smk, dan usbn sd: 21.03.2019 · soal tap ut pgsd 2019 lengkap dengan kunci jawaban dan pembahasan. Essay meaning in malaysia, weight loss essay sample.

Posting Komentar untuk "Soal Usbn Sosiologi 2019 Sma - Latihan Soal Un Unbk Geografi Dki Jakarta 2019 2018 2019 - 21.03.2019 · soal tap ut pgsd 2019 lengkap dengan kunci jawaban dan pembahasan."